Zum Hauptinhalt springen

Normale Herz- und Atemfrequenzen bei Hunden: Ergebnisse der AI-COLLAR-Studie

Unser Artikel Resting heart and respiratory rates in dogs in their natural environment: new insights from a long-term, international, prospective study in a cohort of 1012 dogs using a biometric device for longitudinal non-invasive cardiorespiratory monitoring (AI-COLLAR), veröffentlicht in Frontiers in Veterinary Science (2025), Frontiers, etabliert die erste weltweite Referenz für normale Herz- und Atemfrequenzen bei scheinbar gesunden Hunden. Durchgeführt mit der Professorin Valérie Chetboul, wurde sie ermöglicht durch den Invoxia Biotracker GPS for Dogs, Gewinner des CES Innovation Award 2024.

Wir haben 703 gesunde Hunde in Europa, Nordamerika und Asien verfolgt – darunter 42 % in Frankreich und 29 % in den USA – Tag und Nacht bis zu einem Jahr lang mit dem Invoxia Biotracker. Ergebnis: ein beispielloser Datensatz unter realen Bedingungen mit Referenzwerten für normale Herz- und Atemfrequenzen nach Alter, Gewicht, Geschlecht, Rasse, zirkadianem Rhythmus und sogar Saison für Hunde, die auf der Nordhalbkugel leben, sowie charakteristische Profile, die bei 129 herzkranken Hunden identifiziert wurden.

Ähnlich wie vernetzte Geräte die Humanmedizin transformieren, zeigt diese Studie, wie prädiktive Veterinärmedizin möglich wird: individuelle Überwachung, frühzeitige Warnungen und groß angelegte reale Daten, um jeden Hund zu schützen. Danke an die engagierten Hundebesitzer, die AI-COLLAR möglich gemacht haben.

Weltkarte, die die AI-COLLAR-Kohorte zeigt

Die AI-COLLAR-Studie in Zahlen

Die AI-COLLAR-Kohorte bietet eine unvergleichliche wissenschaftliche Basis für die normalen Herz- und Atemfrequenzen bei Hunden:

  • 703 gesunde Hunde in ihrer natürlichen Umgebung verfolgt.
  • 29 Länder, darunter 42 % in Frankreich und 29 % in den USA.
  • 189 Tage mediane Tragedauer pro Hund, abdeckend 113 Rassen und alle Lebensphasen.

Diese Daten, fernab des Stresses der Klinik gesammelt, definieren die physiologischen Referenzwerte, die der präventiven Veterinärmedizin fehlten.

Geografische Verteilung der verfolgten Hunde
Quelle: Chetboul et al., 2025 (Front. Vet. Sci., doi:10.3389/fvets.2025.1667355), CC BY 4.0

Was ist die normale Herzfrequenz eines Hundes? Was ist die normale Atemfrequenz?

Das sind die Fragen, die sich jeder Hundebesitzer und jeder Tierarzt stellt. Die AI-COLLAR-Studie liefert die ersten umfassenden Antworten, indem sie Werte für die Ruheherzfrequenz (RHF) und die Ruheatmungsfrequenz (RAF) für Hunde in ihrem täglichen Leben festlegt.

Merkmale Untergruppen Anzahl der Hunde Herzfrequenz (bpm) Atemfrequenz (Brpm)
Geschlecht Männliche Hunde 314 60,3 [54,7–65,2] 16,0 [13,7–18,4]
Weibliche Hunde 248 60,7 [56,2–65,4] 16,1 [14,0–18,7]
Messzeitpunkt Nacht 533 58,3 [53,6–64,2] 14,2 [12,1–17,0]
Tag 533 61,3 [56,3–66,7] 17,4 [15,2–19,8]
Größenkategorie Große Hunde (> 20 kg) 355 59,5 [54,7–63,8] 15,6 [13,7–18,4]
Kleine bis mittelgroße Hunde (≤20 kg) 207 62,1 [56,4–68,1] 16,5 [14,5–19,0]
Mittelgroße bis große Hunde (>10 kg) 478 59,5 [54,6–64,2] 15,8 [13,7–18,3]
Kleine Hunde (≤10 kg) 84 65,0 [60,9–69,4] 17,2 [15,0–19,9]
Gesundheitsstatus Scheinbar gesunde Hunde 562 60,5 [55,2–65,3] 16,1 [13,8–18,7]
Kranke Hunde 166 65,4 [60,0–78,5] 17,5 [14,6–20,9]
Scheinbar gesunde Hunde 562 60,5 [55,2–65,3] 16,1 [13,8–18,7]
Hunde mit Herzerkrankungen 129 67,3 [61,0–81,5] 18,0 [14,9–21,5]

Wie das Alter die Vitalzeichen verändert

Die Langzeitbeobachtung beleuchtet unterschiedliche Profile für Herzfrequenz und Atmung:

  • Welpen (≤ 12 Monate) sinken deutlich, mit einer mittleren Herzfrequenz, die von 78,5 auf 59,1 Schläge pro Minute fällt. Die Atemfrequenz nimmt parallel ab, von etwa 22,6 auf 15,3 Atemzüge pro Minute, was zeigt, wie schnell sich junge Hunde physiologisch beruhigen.
  • Erwachsene (1–10 Jahre) stabilisieren sich, mit einer Herzfrequenz um 60 Schläge pro Minute und einer Atemfrequenz nahe 16 Atemzügen pro Minute.
  • Senioren (≥ 10 Jahre) erleben einen allmählichen Anstieg, wobei die Herzfrequenz 68,7 Schläge pro Minute erreicht und die Atemfrequenz ebenfalls auf 17,4 Atemzüge pro Minute ansteigt.

Die Verfolgung der Entwicklung dieser beiden Konstanten nach Alter ermöglicht es, Abweichungen zu erkennen, lange bevor sie sich verschlimmern.

Das Verständnis dieser altersgerechten normalen Herzfrequenzbereiche hilft Ihnen, jede Abweichung frühzeitig zu erkennen.

Entwicklung der Herzfrequenz nach Alter
Quelle: Chetboul et al., 2025 (Front. Vet. Sci., doi:10.3389/fvets.2025.1667355), CC BY 4.0

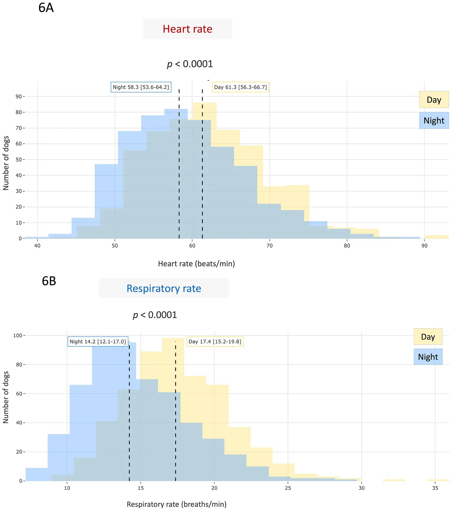
Tag vs. Nacht: den zirkadianen Rhythmus entschlüsseln

Die kontinuierliche Überwachung zeigt ein klares Signal: die Herzfrequenz und die Atemfrequenz sinken nachts deutlich. Diese zirkadiane Signatur spiegelt eine tiefe Ruhe und einen ausgeglichenen autonomen Tonus wider.

Die normalen Herz- und Atemfrequenzen sind während des nächtlichen Schlafs niedriger als in der Tagesruhe.

Vergleich der Frequenzen Tag und Nacht
Quelle: Chetboul et al., 2025 (Front. Vet. Sci., doi:10.3389/fvets.2025.1667355), CC BY 4.0

Jeder Schlag zählt

Der Invoxia Biotracker überwacht kontinuierlich die Herzgesundheit Ihres Hundes: Erkennung unregelmäßiger Rhythmen, Überwachung der Atemfrequenz und Warnungen bei Veränderungen, die ihm das Leben retten können. Die Gelassenheit, an seinem Halsband befestigt.

Normale Herz- und Atemfrequenzwerte bei Hunden

Herz- und Atemfrequenzen nach Gewicht und Rasse: das Gewicht und die Rasse hinterlassen ihre Spuren

Die Gewichtskategorie und die Genetik prägen die normalen Werte für Herz- und Atemfrequenz:

  • Große Hunde (> 20 kg) zeigen niedrigere Herz- und Atemfrequenzen als ihre kleineren Artgenossen.
  • Die Golden Retriever, Australian Shepherds und Border Collies weisen die niedrigsten Ruheherzfrequenzen auf.
  • Die Australian Shepherds haben höhere normale Atemfrequenzen, während die Dobermänner langsamer atmen.

Die Interpretation des Wertebereichs eines Hundes erfordert eine Referenz, die auf ähnlichen Gewichts- und Rasseprofilen basiert: genau das bietet der AI-COLLAR-Datensatz.

Herz- und Atemfrequenzen nach Gewicht
Quelle: Chetboul et al., 2025 (Front. Vet. Sci., doi:10.3389/fvets.2025.1667355), CC BY 4.0

Saisonale Variationen der Normalwerte: die Jahreszeiten beeinflussen jeden Schlag

Auf der Nordhalbkugel sinkt die Herzfrequenz im Sommer, während die Atemfrequenz ab April steigt und im August ihren Höhepunkt erreicht. Das Hecheln ist eine gesunde Reaktion auf hohe Temperaturen.

Das Wissen um diese saisonalen Muster normaler Herz- und Atemfrequenzen vermeidet Fehlalarme und beschleunigt das Eingreifen, wenn ein Indikator tatsächlich von den Referenzbereichen abweicht. Unsere Algorithmen kontextualisieren jede Messung mit den Auswirkungen des Klimas.

Monatliche Variation der Vitalzeichen
Quelle: Chetboul et al., 2025 (Front. Vet. Sci., doi:10.3389/fvets.2025.1667355), CC BY 4.0

Früherkennung durch KI unterstützt

Hunde mit Herzproblemen zeigen eine erhöhte Ruheherzfrequenz (RHF) und Atemfrequenz (RAF) lange bevor sichtbare Symptome auftreten. Der Invoxia Biotracker erfasst diese schwachen Signale im Voraus.

  • 120 Tage vor einem Lungenödem erkannte der Algorithmus einen kontinuierlichen Anstieg der RHF.
  • 129 Hunde mit Herzerkrankungen ermöglichten die Definition personalisierter Schwellenwerte.

Ergebnis: Warnungen werden vor der klinischen Notlage gesendet, was Tierärzten wertvolle Handlungszeit bietet.

Algorithmische Ereigniserkennung
Quelle: Chetboul et al., 2025 (Front. Vet. Sci., doi:10.3389/fvets.2025.1667355), CC BY 4.0

Wenn die Konstanten von der Norm abweichen: eine präventive und prädiktive Veterinärmedizin aktivieren

Wir haben auch gesunde Hunde mit denen verglichen, die mit Herzerkrankungen diagnostiziert wurden, und die Ergebnisse zeigen deutliche Abweichungen von den normalen Herzfrequenzwerten:

  • Herzkranke Hunde zeigen höhere Ruheherzfrequenzen als die normalen Bereiche für ihr Alter und Gewicht.
  • Ihre Atemfrequenzen sind höher als die normalen Werte, die bei gesunden Hunden beobachtet werden.

Diese Variationen der Vitalzeichen stehen in engem Zusammenhang mit der Krankheit und können vor den sichtbaren Symptomen auftreten. Dies legt nahe, dass die kontinuierliche Überwachung der durchschnittlichen Herz- und Atemfrequenzprobleme früher erkennen könnte, sodass Tierärzte und Hundebesitzer eingreifen können, bevor sich die Situation verschlechtert.

Vergleich zwischen gesunden und kranken Hunden
Quelle: Chetboul et al., 2025 (Front. Vet. Sci., doi:10.3389/fvets.2025.1667355), CC BY 4.0

Wie der Invoxia Biotracker GPS for Dogs Ihren Hund im Alltag schützt

Der Invoxia Biotracker GPS for Dogs ist ein nicht-invasiver biometrischer Sensor. Unser Sensor nutzt die Seismokardiographie, um die Mikrovibrationen am Hals Ihres Hundes zu erfassen und in zuverlässige kardiorespiratorische Metriken umzuwandeln.

  • Automatische Aufzeichnungen, sobald Ihr Hund ruhig liegt.
  • KI-Modelle, die auf der größten Hundekohorte trainiert wurden, bieten 99,6 % Genauigkeit für die RHF und 98,6 % für die RAF.
  • Keine Reibung: Befestigen Sie das Halsband und erhalten Sie eine 24/7 Gesundheitsüberwachung.

Ihr Hund behält seine Routine bei; Sie gewinnen eine medizinische Echtzeit-Transparenz.

Vertiefen durch die wissenschaftliche Veröffentlichung

Erkunden Sie die vollständige Methodik und alle Ergebnisse in Frontiers in Veterinary Science: Resting heart and respiratory rates in dogs in their natural environment: new insights from a long-term, international, prospective study in a cohort of 703 dogs using a biometric device for longitudinal non-invasive cardiorespiratory monitoring.

Der freie Zugang validiert den Invoxia-Ansatz und teilt diese einzigartige Wissensbasis mit der gesamten Veterinärgemeinschaft.

Titelbild der wissenschaftlichen Veröffentlichung

Schlüsselreferenz

  • Chetboul V, Humbert E, Dougoud L, Lorre G (2025) Resting heart and respiratory rates in dogs in their natural environment: new insights from a long-term, international, prospective study in a cohort of 703 dogs using a biometric device for longitudinal non-invasive cardiorespiratory monitoring. Frontiers in Veterinary Science, 12:1667355. doi: 10.3389/fvets.2025.1667355. Unter Lizenz CC BY 4.0.

Vollständige Bibliographie

  • Mfouth Kemajou, P, Mbanya, A und Coppieters, Y. Digital approaches in post-COVID healthcare: a systematic review of technological innovations in disease management. Biol Methods Protoc. (2024) 9:bpae070. doi: 10.1093/biomethods/bpae070
  • Lee, NK und Kim, JS. Status and trends of the digital healthcare industry. Healthc Inform Res. (2024) 30:172-83. doi: 10.4258/hir.2024.30.3.172
  • Jensen, MT, Treskes, RW, Caiani, EG, et al. ESC working group on e-cardiology position paper: use of commercially available wearable technology for heart rate and activity tracking in primary and secondary cardiovascular prevention. Eur Heart J Digit Health. (2022) 3:577-89. doi: 10.1093/ehjdh/ztac040
  • Carubelli, V, Castrichini, M, Lazzarini, V, et al. Heart failure patient with wearable sensors for telemonitoring study (HELPful). ESC Heart Fail. (2022) 9:1422-31. doi: 10.1002/ehf2.13884
  • Clark, EN, Chaudhry, SP und Ahmad, T. Integrating digital technologies in heart failure care. Curr Heart Fail Rep. (2023) 20:355-66. doi: 10.1007/s11897-023-00571-8
  • Saavedra, MJ, Oliveira, E, de Castro, A, et al. Variability of resting respiratory rate and temperature in dogs with subclinical myxomatous mitral valve disease. Vet J. (2024) 330:106932. doi: 10.1016/j.tvjl.2023.106932
  • Tissier, R, Humbert, E, Rahimi, K, et al. Wearable sensor for detection of pulmonary edema in heart failure patients with a reduced ejection fraction (MULTI sense). J Clin Med. (2022) 11:5521. doi: 10.3390/jcm11195521
  • Keene, BW, Atkins, CE, Bonagura, JD, et al. ACVIM consensus guidelines for the diagnosis and treatment of myxomatous mitral valve disease in dogs. J Vet Intern Med. (2019) 33:1127-40. doi: 10.1111/jvim.15488
  • Boswood, A. Biomarkers in cardiovascular disease: beyond natriuretic peptides. J Small Anim Pract. (2009) 50:6-13. doi: 10.1111/j.1748-5827.2008.00660.x
  • Häggström, J, Boswood, A, O’Grady, M, et al. Long-term cardiopulmonary bypass in dogs. J Vet Intern Med. (2013) 27:1122-35. doi: 10.1111/jvim.12143
  • Wess, G, Domenech, O, Dukes-McEwan, J, et al. Recommendations for the echocardiographic assessment of the right heart in dogs and cats. J Vet Cardiol. (2017) 19:52-67. doi: 10.1016/j.jvc.2016.07.003
  • Visser, LC, Sloan, C, Lifton, J, et al. Diagnostic value of home sleeping respiratory rate in dogs with left-sided heart disease. J Vet Intern Med. (2018) 32:1846-54. doi: 10.1111/jvim.15286
  • Packer, RM, McGreevy, PD und Thomson, PC. Effect of breed, body weight and sex on life span in the domestic dog (Canis familiaris). Vet J. (2015) 203:21-8. doi: 10.1016/j.tvjl.2014.11.013
  • Hezzell, MJ, Boswood, A, Moonarmart, W und Elliott, J. Sleep and resting respiratory rates in dogs with subclinical heart disease. J Vet Cardiol. (2015) 17:269-76. doi: 10.1016/j.jvc.2015.04.004
  • Reynolds, CA, Brown, DC und Rush, JE. Economic impact of heart disease in dogs. J Vet Intern Med. (2012) 26:1149-56. doi: 10.1111/j.1939-1676.2012.00981.x
  • Treszl, A, Németh, T, Babai, L, et al. Daytime and nocturnal heart rate variability in healthy dogs. Acta Vet Hung. (2010) 58:143-52. doi: 10.1556/AVet.58.2010.2.1
  • Zanghi, BM, Gardner, CL und Zollers, M. Influence of diet on sympathetic tone in healthy dogs. J Anim Sci. (2013) 91:278-85. doi: 10.2527/jas.2012-5217
  • Bannink, A, Israel, N, Zierenberg, S, et al. Adherence to heart failure therapy in dogs: owners’ perspectives. J Vet Intern Med. (2023) 37:117-27. doi: 10.1111/jvim.16578
  • Chomel, BB und Kasten, RW. Bartonellosis in dogs: emerging infectious disease? Vet Res. (2010) 41:1. doi: 10.1051/vetres/2009069
  • Côté, E, MacDonald, KA, Meurs, KM, et al. Recommendations for the interpretation of canine electrocardiograms. J Vet Cardiol. (2015) 17:251-68. doi: 10.1016/j.jvc.2015.03.002
  • Doxey, S, Boswood, A, Reid, SW und Darke, PG. The effects of age and body weight on the arterial blood pressure of dogs. J Small Anim Pract. (1995) 36:507-12. doi: 10.1111/j.1748-5827.1995.tb03520.x
  • Massari, F, De Francesco, INA, Savarese, JP, et al. Variation of heart rate and heart rate variability with age in healthy puppies. Res Vet Sci. (2019) 125:253-5. doi: 10.1016/j.rvsc.2019.07.010
  • Bodey, AR und Michell, AR. Epidemiological study of blood pressure in domestic dogs. J Small Anim Pract. (1996) 37:116-25. doi: 10.1111/j.1748-5827.1996.tb02358.x
  • Montoya Navarrete, AL, Quezada Tristan, T, Lozano Santillan, S, et al. Effect of age, sex, and body size on the blood biochemistry and physiological constants of dogs. BMC Vet Res. (2021) 17:265. doi: 10.1186/s12917-021-02976-w
  • Geis, WP, Tatooles, CJ, Priola, DV und Friedman, WF. Factors influencing neurohumoral control of the heart in the newborn dog. Am J Phys. (1975) 228:1685-9. doi: 10.1152/ajplegacy.1975.228.6.1685
  • Hajduczok, G, Chapleau, MW und Abboud, FM. Rapid adaptation of central pathways explains the suppressed baroreflex with aging. Neurobiol Aging. (1991) 12:601-4. doi: 10.1016/0197-4580(91)90092-x
  • Monahan, KD. Effect of aging on baroreflex function in humans. Am J Physiol Regul Integr Comp Physiol. (2007) 293:R3-R12. doi: 10.1152/ajpregu.00031.2007
  • Randall, OS, Esler, MD, Bulloch, EG, et al. Relationship of age and blood pressure to baroreflex sensitivity and arterial compliance in man. Clin Sci Mol Med Suppl. (1976) 51:357s-60s. doi: 10.1042/cs051357s
  • Rishniw, M, Ljungvall, I, Porciello, F, Haggstrom, J und Ohad, DG. Sleeping respiratory rates in apparently healthy adult dogs. Res Vet Sci. (2012) 93:965-9. doi: 10.1016/j.rvsc.2011.12.014
  • Saikia, D und Mahanta, B. Cardiovascular and respiratory physiology in children. Indian J Anaesth. (2019) 63:690-7. doi: 10.4103/ija.IJA_490_19
  • Noujaim, SF, Lucca, E, Munoz, V, et al. From mouse to whale: a universal scaling relation for the PR interval of the electrocardiogram of mammals. Circulation. (2004) 110:2802-8. doi: 10.1161/01.CIR.0000146785.15995.67
  • Goldbogen, JA, Cade, DE, Calambokidis, J, et al. Extreme bradycardia and tachycardia in the world’s largest animal. Proc Natl Acad Sci USA. (2019) 116:25329-32. doi: 10.1073/pnas.1914273116
  • Lamb, AP, Meurs, KM und Hamlin, RL. Correlation of heart rate to body weight in apparently normal dogs. J Vet Cardiol. (2010) 12:107-10. doi: 10.1016/j.jvc.2010.04.001
  • Hasegawa, M, Sasaki, M, Umemoto, Y, et al. Exploring sleep heart rate variability: linear, nonlinear, and circadian rhythm perspectives. Front Vet Sci. (2024) 11:1386425. doi: 10.3389/fvets.2024.1386425
  • Varga, B, Gergely, A, Galambos, A und Kis, A. Heart rate and heart rate variability during sleep in family dogs (Canis familiaris). Animals (Basel). (2018) 8:107. doi: 10.3390/ani8070107
  • Noszczyk-Nowak, A, Pasawska, U und Nicpon, J. ECG parameters in 24-hour Holter monitoring in healthy dogs. Bull Vet Inst Pulawy. (2009) 53:499-502.
  • Ohad, DG, Rishniw, M, Ljungvall, I, Porciello, F und Haggstrom, J. Sleeping and resting respiratory rates in dogs with subclinical heart disease. J Am Vet Med Assoc. (2013) 243:839-43. doi: 10.2460/javma.243.6.839
  • Goldberg, MB, Langman, VA und Taylor, CR. Panting in dogs: paths of air flow in response to heat and exercise. Respir Physiol. (1981) 43:327-38. doi: 10.1016/0034-5687(81)90113-4
  • Parsons, S, Scott, AR und Macdonald, IA. The effect of posture and environmental temperature on cardiovascular reflexes in normal subjects and diabetes mellitus. Clin Auton Res. (1992) 2:147-51. doi: 10.1007/BF01818954
  • Mavropoulou, A, Oliveira, P und Willis, R. Holter monitoring in dogs: 24 h vs. 48 h. Vet J. (2021) 272:105628. doi: 10.1016/j.tvjl.2021.105628
  • Calvert, CA. Heart rate variability. Vet Clin North Am Small Anim Pract. (1998) 28:1409-27. doi: 10.1016/S0195-5616(98)50129-5
  • Petrie, JP. Practical application of Holter monitoring in dogs and cats. Clin Tech Small Anim Pract. (2005) 20:173-81. doi: 10.1053/j.ctsap.2005.05.006
  • Gunasekaran, T und Sanders, RA. Determining the optimal Holter monitoring duration for detecting ventricular arrhythmia in dogs: a Bayesian approach. J Vet Cardiol. (2025) 60:14-22. doi: 10.1016/j.jvc.2025.05.003